Scope:
The ASTM E162 fire-test-response standard describes the measurement of materials’ surface flammability. It is not intended for use as a basis for rating building codes.
Test Procedure:
In the ASTM E162 test method, a radiant heat source comprising a 12 by 18-in. (305 by 457-mm) panel is used to measure the surface flammability of the material. A specimen of 6 by 18-in. (152 by 457 mm) is inclined in the front of the panel. The orientation of the specimen is such that ignition is forced near its upper edge and the flame front progresses downward. To measure the radiant panel index two factors are combined: the factor derived from the rate of progress of the flame and the factor derived from the rate of heat liberated by the material under the test.
Test Specimen:
The test specimen used in ASTM E162 testing shall be 6 by 18 in. (152 by 457 mm) by the sheet thickness, where this is less than 1 in. (25.4 mm).
Data:
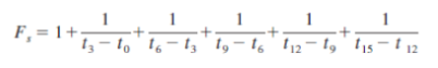
The radiant panel index, Is, is calculated in ASTM E162 testing by using the following formula:
Fs =flame spread factor.
Q = Heat evolution factor,
Fs (flame spread factor.)
On a linear graph paper, plot the distance vertically against the time of arrival of flame at each mark horizontally. For this purpose, assume that the flame starts at 0 in. (0 mm) at time 0 min, and plot this initial point also.

Q = Heat evolution factor
Where,
C = arbitrary constant 5.7, chosen to make results consistent with those obtained before the metrication of this calculation,
T = observed maximum stack thermocouple temperature difference in degrees Celsius between the temperature-time curve for the specimen and that for a similar curve of the inorganic reinforced cement board calibration specimen.
β = mean stack thermocouple temperature rise for unit heat input rate of the calibration burner in degrees Celsius per kilowatt, a constant for the apparatus. (β will probably be found to lie between 0.6 and 1.2°F/Btu·min, or between 20 and 40°C/kW.)
Conclusion:
The ASTM E162 fire-test-response standard describes the measurement of surface flammability of materials. It is not intended for use as a basis of ratings for building code purposes.
Talk to Our Experts Today!
Submit your contact info and we’ll get back to you within 24 hours
Full Spectrum of ASTM Material Testing — Backed by 2,000+ Trusted Lab Partners
ASTM standards for chemical composition, physical properties, failure analysis, and other routine and non-routine testing for polymers and plastics
ASTM standards for determination of mechanical, physical, and thermal properties, and performance of monolithic and composite ceramics
ASTM standards guiding various destructive, non-destructive and analytical tests for quality control of different metals and alloys
ASTM standards for chemical analysis of solid, liquid and gaseous materials for specification compliance and quality control
ASTM standards for various chemical, physical, stability and exposure analysis of paints and coatings
Our Services

Metrology
A variety of microscopy and spectroscopy tools available for precise measurements from the nano to the meter scale.
Learn More
Materials Testing
ASTM and ISO standard and custom chemical, mechanical, thermal, corrosion tests, etc. for all materials metals, ceramic or polymers.
Learn More
Product Testing
Thousands of tests for product quality and reliability under heat, humidity, temperature shock, vibration, drop, electrostatic discharge.
Learn More